Kunci Jawaban Update

Hasil Dari Sigma 15 N2 3n 2 Mas Dayat


Proceedings Of The 4 Th International Conference On Sustainable Animal Agriculture For Developing Countries Saadc2013 Pdf Free Download
docplayer.net

Soal Dan Pembahasan Notasi Sigma 1 5 Istana Mengajar
istanamengajar.wordpress.com

Soal Dan Pembahasan Notasi Sigma 1 5 Istana Mengajar
istanamengajar.wordpress.com

Penerapan Sifat Kelinearan Sigma Untuk Menentukan Rumus Jumlah Bilang
www.slideshare.net

Http Www Ijsrp Org Print Journal Ijsrp Dec 2017 Print Pdf

1 1 69 Xd Join This Page If You Get It O 0 A Paz Que Eu Quero Ter Pages Directory
www.facebook.com

M302 Aljabar Notasi Sigma Youtube
www.youtube.com

Diketahui 10 Sigma I 1 Ai 25 Nilai 12 Sigma I 3 4a I 2 9 Tolong Bantu Jawab Dengan Benar Brainly Co Id
brainly.co.id

Tunjukkan Bahwa Jika Suatu Garis Sejajar Dengan Dua Buah Bidang Yang Saling Berpotongan Maka Garis Mas Dayat
www.masdayat.net

Soal Induksi Matematika Kelas 11
belajarbarengsay.web.app

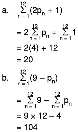
Diketahui 12sn 1 Pn 4 Tentukan Hasil Dari A 12sn 1 2pn 1 Mas Dayat
www.masdayat.net

Proceedings Of The 4 Th International Conference On Sustainable Animal Agriculture For Developing Countries Saadc2013 Pdf Free Download
docplayer.net

Soal Induksi Matematika Kelas 11
belajarbarengsay.web.app

1 1 69 Xd Join This Page If You Get It O 0 A Paz Que Eu Quero Ter Pages Directory
www.facebook.com

Mi Vado A Casa Sui Fili Della Luce A Missing Piece By Jared Lemos Pages Directory
www.facebook.com

Soal Dan Pembahasan Notasi Sigma 1 5 Istana Mengajar
istanamengajar.wordpress.com

How To Find The Sum Of Math 1 Cdot 2 2 Cdot 3 3 Cdot 4 Cdots N Cdot N 1 Math Quora
www.quora.com

Tunjukkan Bahwa Jika Suatu Garis Sejajar Dengan Dua Buah Bidang Yang Saling Berpotongan Maka Garis Mas Dayat
www.masdayat.net

Mi Vado A Casa Sui Fili Della Luce A Kiss Of Shadows By Laurell K Hamilton Pages Directory
www.facebook.com

2 7 12 17 5n 3 N 5n 1 Mas Dayat
www.masdayat.net

2 7 12 17 5n 3 N 5n 1 Mas Dayat
www.masdayat.net

Proceedings Of The 4 Th International Conference On Sustainable Animal Agriculture For Developing Countries Saadc2013 Pdf Free Download
docplayer.net

Penerapan Sifat Kelinearan Sigma Untuk Menentukan Rumus Jumlah Bilang
www.slideshare.net

Pdf Dietary Protein And Lipid Requirements For The Pacific Bluefin Tuna Thunnus Orientalis Juvenile
www.researchgate.net

Http Www Ijsrp Org Print Journal Ijsrp Dec 2017 Print Pdf

Sum To N Terms 1 1 2 3 1 2 3 4 1 3 4 5 Youtube
www.youtube.com

Proceedings Of The 4 Th International Conference On Sustainable Animal Agriculture For Developing Countries Saadc2013 Pdf Free Download
docplayer.net

1 1 69 Xd Join This Page If You Get It O 0 A Paz Que Eu Quero Ter Pages Directory
www.facebook.com

How To Solve The Equations For X Y 8 X Z 13 Z W 6 And W Y 8 Quora
www.quora.com

Soal Induksi Matematika Kelas 11
belajarbarengsay.web.app

Http Www Ijsrp Org Print Journal Ijsrp Dec 2017 Print Pdf

Cara Mudah Mengerjakan Notasi Sigma Dan Contoh Soalnya Youtube
www.youtube.com

15 Sigma N 1 3n 10 Brainly Co Id
brainly.co.id

Proceedings Of The 4 Th International Conference On Sustainable Animal Agriculture For Developing Countries Saadc2013 Pdf Free Download
docplayer.net

Proceedings Of The 4 Th International Conference On Sustainable Animal Agriculture For Developing Countries Saadc2013 Pdf Free Download
docplayer.net

Http Www Ijsrp Org Print Journal Ijsrp Dec 2017 Print Pdf

Penerapan Sifat Kelinearan Sigma Untuk Menentukan Rumus Jumlah Bilang
www.slideshare.net

1 1 69 Xd Join This Page If You Get It O 0 A Paz Que Eu Quero Ter Pages Directory
www.facebook.com

Pdf Dietary Protein And Lipid Requirements For The Pacific Bluefin Tuna Thunnus Orientalis Juvenile
www.researchgate.net

Mi Vado A Casa Sui Fili Della Luce A Kiss Of Shadows By Laurell K Hamilton Pages Directory
www.facebook.com

17 A Que Consigo Mas De 5 000 Avrileras Fans De Avril Lavigne Pages Directory
www.facebook.com

Hasil Dari 15sk 2 3n 2 Mas Dayat
www.masdayat.net

1001 Kta Mutiara Iwan Fals Others Pages Directory
www.facebook.com

Deret 7 10 13 16 19 22 25 Dapat Dituliskan Dengan Notasi Sigma Mas Dayat
www.masdayat.net

Buktikan 7 11 15 4n 3 2n 5n Berlaku Untuk Semua Bilangan Asli Brainly Co Id
brainly.co.id

Nyatakan Deret Aritmetika Berikut Dalam Bentuk Notasi Sigma A 1 4 7 10 13 13 16 19 Mas Dayat
www.masdayat.net

50 Sigma N 1 N 2 Brainly Co Id
brainly.co.id

Tolong Di Bantu Tuliskan Dalam Bentuk Penjumlahan Biasa Brainly Co Id
brainly.co.id

Notasi Sigma Yang Ekuivalen Dengan 9 Sigma K 1 K 2k 5 Adalah Youtube
www.youtube.com

Nucleotide Nutrition In Fish Current Knowledge And Future Applications
www.researchgate.net

Penerapan Sifat Kelinearan Sigma Untuk Menentukan Rumus Jumlah Bilang
www.slideshare.net

4n 2n Untuk Semua Bilangan Bulat Positif N 5 Mas Dayat
www.masdayat.net

Hasil Dari 15sk 2 3n 2 Mas Dayat
www.masdayat.net

Proceedings Of The 4 Th International Conference On Sustainable Animal Agriculture For Developing Countries Saadc2013 Pdf Free Download
docplayer.net

16 Shtatori A Esa Hora No Puedo Juega Boca Pages Directory
www.facebook.com

Soal Dan Pembahasan Notasi Sigma 1 5 Istana Mengajar
istanamengajar.wordpress.com

12 Semanas De Exercicio E Dieta Pesos Pesados A Que Goku Tiene Mas Fans Que Justin Beiber Pages Directory
www.facebook.com

50 Sigma N 1 N 2 Brainly Co Id
brainly.co.id

Pdf Physico Chemical And Organoleptic Quality Of Madurese Spicy Dried Beef Prepared With Different Concentrations Of Cooking Salt And Cane Sugar Hari Purnomo Academia Edu
www.academia.edu

12 Semanas De Exercicio E Dieta Pesos Pesados A Que Goku Tiene Mas Fans Que Justin Beiber Pages Directory
www.facebook.com

Pdf Dietary Protein And Lipid Requirements For The Pacific Bluefin Tuna Thunnus Orientalis Juvenile
www.researchgate.net

Pdf Dietary Protein And Lipid Requirements For The Pacific Bluefin Tuna Thunnus Orientalis Juvenile
www.researchgate.net

Mi Vado A Casa Sui Fili Della Luce A Kiss Of Shadows By Laurell K Hamilton Pages Directory
www.facebook.com

Proceedings Of The 4 Th International Conference On Sustainable Animal Agriculture For Developing Countries Saadc2013 Pdf Free Download
docplayer.net

Soal Induksi Matematika Kelas 11
belajarbarengsay.web.app

Penerapan Sifat Kelinearan Sigma Untuk Menentukan Rumus Jumlah Bilang
www.slideshare.net

Mostaje Ja Man Jdide A Real Indian Sex Meeting Boy For High Profile Girls Woman And Single Mom Pages Directory
www.facebook.com

Deret 7 10 13 16 19 22 25 Dapat Dituliskan Dengan Notasi Sigma Mas Dayat
www.masdayat.net

Soal Induksi Matematika Kelas 11
belajarbarengsay.web.app

Mostaje Ja Man Jdide A Real Indian Sex Meeting Boy For High Profile Girls Woman And Single Mom Pages Directory
www.facebook.com

Induksi Matematika 1 2 3 2 3 4 3 4 5 N N 1 N 2 N N 1 N 2 N 3 4 Tolong Dijawab Yaa Brainly Co Id
brainly.co.id

Tunjukkan Bahwa Jika Suatu Garis Sejajar Dengan Dua Buah Bidang Yang Saling Berpotongan Maka Garis Mas Dayat
www.masdayat.net

1001 Kta Mutiara Iwan Fals Others Pages Directory
www.facebook.com

Mi Vado A Casa Sui Fili Della Luce A Kiss Of Shadows By Laurell K Hamilton Pages Directory
www.facebook.com

Pdf Trials For Vaccination Of Tilapia Fish Against Aeromonas And Pseudomonas Infections Using Monovalent Bivalent And Polyvalent Vaccines
www.researchgate.net

Hasil Dari Sigma I 5 Sampai 16 I 2 1466 Dan Sigma Dari I 5 Sampai 16 2i 252 Tentukan Nilai Brainly Co Id
brainly.co.id

Mi Vado A Casa Sui Fili Della Luce A Kiss Of Shadows By Laurell K Hamilton Pages Directory
www.facebook.com

2

12 Semanas De Exercicio E Dieta Pesos Pesados A Que Goku Tiene Mas Fans Que Justin Beiber Pages Directory
www.facebook.com

Buktikan Bahwa 2 6 10 4n 2 2n Pangkat 2 Brainly Co Id
brainly.co.id

By Pmi Prove 1 1 3 1 3 5 1 5 7 1 2n 1 2n 1 N 2n 1 Brainly In
brainly.in

12 Semanas De Exercicio E Dieta Pesos Pesados A Que Goku Tiene Mas Fans Que Justin Beiber Pages Directory
www.facebook.com

Tunjukkan Bahwa Jika Suatu Garis Sejajar Dengan Dua Buah Bidang Yang Saling Berpotongan Maka Garis Mas Dayat
www.masdayat.net

Tunjukkan Bahwa Jika Suatu Garis Sejajar Dengan Dua Buah Bidang Yang Saling Berpotongan Maka Garis Mas Dayat
www.masdayat.net

Buktikan 6 12 24 3 2 N 6 2 N 1 Bantuin Dong Induksi Matematika Brainly Co Id
brainly.co.id

Notasi Sigma Yang Ekuivalen Dengan 9 Sigma K 1 K 2k 5 Adalah Youtube
www.youtube.com

1 1 69 Xd Join This Page If You Get It O 0 A Paz Que Eu Quero Ter Pages Directory
www.facebook.com

Soal Induksi Matematika Kelas 11
belajarbarengsay.web.app

Monzter Jackerz A Kiss Of Shadows By Laurell K Hamilton Pages Directory
www.facebook.com

Proceedings Of The 4 Th International Conference On Sustainable Animal Agriculture For Developing Countries Saadc2013 Pdf Free Download
docplayer.net

Tunjukkan Bahwa Jika Suatu Garis Sejajar Dengan Dua Buah Bidang Yang Saling Berpotongan Maka Garis Mas Dayat
www.masdayat.net

Mi Vado A Casa Sui Fili Della Luce A Kiss Of Shadows By Laurell K Hamilton Pages Directory
www.facebook.com

Http Www Ijsrp Org Print Journal Ijsrp Dec 2017 Print Pdf

Deret 7 10 13 16 19 22 25 Dapat Dituliskan Dengan Notasi Sigma Mas Dayat
www.masdayat.net

Mostaje Ja Man Jdide A Real Indian Sex Meeting Boy For High Profile Girls Woman And Single Mom Pages Directory
www.facebook.com

Proceedings Of The 4 Th International Conference On Sustainable Animal Agriculture For Developing Countries Saadc2013 Pdf Free Download
docplayer.net

Soal Dan Pembahasan Notasi Sigma 1 5 Istana Mengajar
istanamengajar.wordpress.com

Mi Vado A Casa Sui Fili Della Luce A Kiss Of Shadows By Laurell K Hamilton Pages Directory
www.facebook.com

Tunjukkan Bahwa Jika Suatu Garis Sejajar Dengan Dua Buah Bidang Yang Saling Berpotongan Maka Garis Mas Dayat
www.masdayat.net

17 A Que Consigo Mas De 5 000 Avrileras Fans De Avril Lavigne Pages Directory
www.facebook.com

close