Kunci Jawaban Update

Mas Dayat Matematika Wajib


I 1 Sn 2i 5 N N 6 Mas Dayat
www.masdayat.net

Tan2 4x 3 0 0 X 2p Mas Dayat
www.masdayat.net

Simpulan Perbedaan Antara Pajak Dan Pungutan Resmi Selain Pajak Mas Dayat
www.masdayat.net

Berikut Adalah Alokasi Shu Koperasi Bina Artha Dan Koperasi Manunggal Mas Dayat
www.masdayat.net

Pembahasan Unbk Matematika Ipa 2017 Soal 1 20 Youtube
www.youtube.com

Dengan Konsep Limit F X Limh 0 F X H F X H Tunjukkan Bahwa F X Sin Ax Maka F X A Cos Ax Mas Dayat
www.masdayat.net

1 2 2 3 3 4 N N 1 1 3 N N 1 N 2 Mas Dayat
www.masdayat.net

Nilai X Yang Memenuhi Pertidaksamaan X 2 4 Adalah Mas Dayat
www.masdayat.net

Pembahasan Soal Buku Matematika Kelas 10 Kurikulum 2013 Guru Ilmu Sosial
www.ilmusosial.id

Soal Matematika Gambar Sepatu
belajarbarengsay.web.app

Jual Buku Osn Matematika Kimia Biologi Sma Ma Gasing Tim Prof Yohanes Surya Kab Purbalingga Buku Olimpiade Sains Tokopedia
www.tokopedia.com

Nurulrahma Page 51
bukanbocahbiasa.com

Tolong Di Bantu Tuliskan Dalam Bentuk Penjumlahan Biasa Brainly Co Id
brainly.co.id

Masdayat Mas Dayat
masdayat.net.siteindices.com

X 7 X 2 Mas Dayat
www.masdayat.net

Jual Cahaya Di Penjuru Hati Based On True Story Kota Malang Toko Buku Ngalam Tokopedia
www.tokopedia.com

Jarak Titik Ke Titik Pada Limas Dimensi Tiga Matematika Wajib Kelas 12 Sma Youtube
m.youtube.com

Rombak Kurikulum Di S Way
www.disway.id

Pembahasan Soal Buku Matematika Kelas 10 Kurikulum 2013 Guru Ilmu Sosial
www.ilmusosial.id

Memorandum Edisi 15 Agustus 2020 By Memorandum Issuu
issuu.com

Pembahasan Soal Buku Matematika Kelas 10 Kurikulum 2013 Guru Ilmu Sosial
www.ilmusosial.id

Jarak Titik Ke Titik Pada Limas Dimensi Tiga Matematika Wajib Kelas 12 Sma Youtube
m.youtube.com

3x 1 X X 3 7 Mas Dayat
www.masdayat.net

Kunci Jawaban Buku Matematika Kelas 11 Kurikulum 2013 Penerbit Erlangga Revisi Sekolah
revisisekolah.blogspot.com

Kunci Jawaban Buku Matematika Kelas 11 Kurikulum 2013 Penerbit Erlangga Guru Ilmu Sosial
www.ilmusosial.id

Perhatikan Gambar Limas Di Samping A Tentukan Kedudukan Titik A Terhadap Garis Bc Mas Dayat
www.masdayat.net

Kunci Jawaban Buku Matematika Kelas 11 Kurikulum 2013 Penerbit Erlangga Guru Ilmu Sosial
www.ilmusosial.id

Masdayat Home Facebook
www.facebook.com

Https Digitalpress Ugm Ac Id Book 257 Download

Tentukan Nilai Dari Setiap Limit A Limx 2 2x 7 Mas Dayat
www.masdayat.net

2

Pendidikan April 2020
urlpendidikan.blogspot.com

Pertidaksamaan 3x 7 2 Dipenuhi Oleh Mas Dayat
www.masdayat.net

2

Kunci Jawaban Buku Matematika Kelas 11 Kurikulum 2013 Penerbit Erlangga Guru Ilmu Sosial
www.ilmusosial.id

Berdasarkan Gambar Kubus Berikut Tentukan Kedudukan A Garis Ah Terhadap Bidang Abgh Mas Dayat
www.masdayat.net

Gugatan Bg Tak Layak Dikabulkan Pdf Free Download
docplayer.info

Y4hlmstsosjd9m

Bengineering Matematika Metroic Version Zill Shopee Indonesia
shopee.co.id

Jarak Titik Ke Titik Pada Limas Dimensi Tiga Matematika Wajib Kelas 12 Sma Youtube
m.youtube.com

Masdayat Mas Dayat
masdayat.net.siteindices.com

Https Dspace Uii Ac Id Bitstream Handle 123456789 17991 15312145 Pdf Sequence 13 Isallowed Y

Jarak Titik Ke Titik Pada Limas Dimensi Tiga Matematika Wajib Kelas 12 Sma Youtube
m.youtube.com

Handbook Pubertas Muslimah Mempersiapkan Masa Baligh Dan Pubertas Shopee Indonesia
shopee.co.id

Kunci Jawaban Buku Matematika Kelas 11 Kurikulum 2013 Penerbit Erlangga Guru Ilmu Sosial
www.ilmusosial.id

Materi Matematika Kelas 7 Guru Ilmu Sosial
www.ilmusosial.id

Jarak Titik Ke Titik Pada Limas Dimensi Tiga Matematika Wajib Kelas 12 Sma Youtube
m.youtube.com

Kunci Jawaban Buku Matematika Kelas 11 Kurikulum 2013 Penerbit Erlangga Guru Ilmu Sosial
www.ilmusosial.id

Sajikan Dalam Bentuk X A Y B Z Pangkat C Mas Dayat
hidangank.web.app

Memorandum Edisi 14 Agustus 2020 By Memorandum Issuu
issuu.com

2

Jarak Titik Ke Titik Pada Limas Dimensi Tiga Matematika Wajib Kelas 12 Sma Youtube
m.youtube.com

Https Dspace Uii Ac Id Bitstream Handle 123456789 17991 15312145 Pdf Sequence 13 Isallowed Y

Kunci Jawaban Buku Matematika Kelas 11 Kurikulum 2013 Penerbit Erlangga Guru Ilmu Sosial
www.ilmusosial.id

Mas Dayat Youtube
www.youtube.com

Jogjafoodgram Instagram Posts Photos And Videos Picuki Com
www.picuki.com

Tentukan Kebenaran Hubungan Berikut Brainly Co Id
brainly.co.id

3x 7 4 Mas Dayat
www.masdayat.net

Akbar Edisi 261 Pages 1 40 Text Version Fliphtml5
fliphtml5.com

2

2

Pembahasan Soal Buku Matematika Kelas 10 Kurikulum 2013 Guru Ilmu Sosial
www.ilmusosial.id

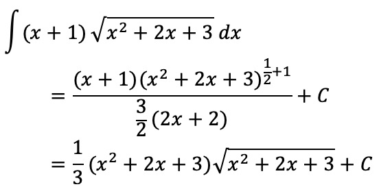
Tentukan Integral Tak Tentu X 1 X2 2x 3 Dx Mas Dayat
www.masdayat.net

Diketahui Limas Segitiga Beraturan T Abc Ini Aturannya
iniaturannya.blogspot.com

Pdf Pelaksanaan Asesmen Kompetensi Keterampilan Di Sekolah Dasar
www.researchgate.net

Lampungpost Edisi 7 Juli 2012
dokumen.tips

Sin X 1 0 X 2p Mas Dayat
www.masdayat.net

Sma Negeri 1 Tanjung Sakti Pumi Publicaciones Facebook
es-la.facebook.com

Pembahasan Unbk Matematika Ipa 2017 Soal 1 20 Youtube
www.youtube.com

2x 3 X 5 Mas Dayat
www.masdayat.net

Sajikan Dalam Bentuk X A Y B Z Pangkat C Mas Dayat
hidangank.web.app

Mas Dayat Masdayat Net Statscrop
masdayat.net.statscrop.com

Matematika Wajib Dimensi Tiga Jarak Titik Ke Titik By Muhammad Sodiqun
cyberspaceandtime.com

Pembahasan Soal Buku Matematika Kelas 10 Kurikulum 2013 Guru Ilmu Sosial
www.ilmusosial.id

50sn 1 N 2 Mas Dayat
www.masdayat.net

Ulqqtoer5q2urm

Gugatan Bg Tak Layak Dikabulkan Pdf Free Download
docplayer.info

X 5 2x 1 Tentukan Himpunan Penyelesaiaanya Mas Dayat
www.masdayat.net

2

Kunci Jawaban Bab Protista X Irnaningtias Soal Pilgan 1 10 By Mas Dayat
cyberspaceandtime.com

Sajikan Dalam Bentuk X A Y B Z Pangkat C Mas Dayat
hidangank.web.app

Diketahui Segitiga Abc Dengan A 3 1 2 B 3 7 7 Dan C 2 4 5 Titik P Pada Ab Mas Dayat
www.masdayat.net

Mas Dayat Teacher Teacher Linkedin
id.linkedin.com

Kunci Jawaban Buku Matematika Kelas 11 Kurikulum 2013 Penerbit Erlangga Guru Ilmu Sosial
www.ilmusosial.id

Sajikan Dalam Bentuk X A Y B Z Pangkat C Mas Dayat
hidangank.web.app

Masdayat Net At Website Informer Mas Dayat Visit Mas Dayat
website.informer.com

X 10 X 2 Mas Dayat
www.masdayat.net

Ulqqtoer5q2urm

Pembahasan Soal Buku Matematika Kelas 10 Kurikulum 2013 Guru Ilmu Sosial
www.ilmusosial.id

Kunci Jawaban Buku Matematika Kelas 11 Kurikulum 2013 Penerbit Erlangga Guru Ilmu Sosial
www.ilmusosial.id

Matematika Wajib Dimensi Tiga Jarak Titik Ke Titik By Muhammad Sodiqun
cyberspaceandtime.com

Gugatan Bg Tak Layak Dikabulkan Pdf Free Download
docplayer.info

Sajikan Dalam Bentuk X A Y B Z Pangkat C Mas Dayat
hidangank.web.app

Pdf Pengukuran Kinerja Keuangan Daerah Dalam Rangka Pelaksanaan Otonomi Daerah Tahun Anggaran 2013 2017
www.researchgate.net

X 3 2x 1 5 Mas Dayat
www.masdayat.net

Biologi Kelas 10 Kurikulum 2013 Peranti Guru
perantiguru.com

Https Dspace Uii Ac Id Bitstream Handle 123456789 17991 15312145 Pdf Sequence 13 Isallowed Y

Relawan Xlsx
www.scribd.com

Matematika Wajib Dimensi Tiga Jarak Titik Ke Titik By Muhammad Sodiqun
cyberspaceandtime.com

Tata Tertib Rapat Pleno
id.scribd.com

close