Kunci Jawaban Update

Soal Latihan Perkalian Pecahan Kelas 5


Kunci Jawaban Buku Senang Belajar Matematika Kelas 5 Kurikulum 2013 Halaman 19 20 21 22 23 Sanjayaops
www.sanjayaops.com

Matematika Kelas 7 Mengenal Operasi Hitung Pada Pecahan
blog.ruangguru.com

Perkalian Pecahan Biasa Dengan Pecahan Desimal Matematika Kelas V Sd K 13 Youtube
www.youtube.com

Perkalian Pecahan Cara Aimyaya Cara Semua Cara
www.cara.aimyaya.com

Cara Mudah Perkalian Pecahan Desimal Contoh Soal Dan Pembahasan Juragan Les
www.juraganles.com

Kerjakan Perkalian Pecahan Kunci Jawaban Matematika Kelas 5
belajarbarengmudah.web.app

Latihan Soal Perkalian Dan Pembagian Pecahan Dan Kunci Jawaban Bimbel Brilian
bimbelbrilian.com

Perkalian Pecahan Matematika Kelas 5 Semester 1 Ganjil Kurikulum 2 Di 2020 Matematika Kelas 5 Matematika Kelas 4 Matematika
id.pinterest.com

Cara Mengerjakan Matematika Kelas 5 Guru Ilmu Sosial
www.ilmusosial.id

Cara Mengerjakan Perkalian Pecahan Dan Desimal Guru Ilmu Sosial
www.ilmusosial.id

Tugas Rpp Perkalian Dan Pembagian Pecahan Biasa 1
id.scribd.com

Cara Perkalian Pecahan Campuran Dengan Desimal Detail Youtube
www.youtube.com

Contoh Soal Pecahan Campuran Kelas 5 Sd Semester 1 Kumpulan Soal Pelajaran 8
soalujian-78.blogspot.com

Soal Uts Penilaian Tengah Semester 1 Matematika Kelas 5 Sekolahdasar Net
www.sekolahdasar.net

Contoh Soal Pecahan Campuran Kelas 5 Soal Cerita Kumpulan Soal Pelajaran 8
soalujian-78.blogspot.com

Cara Mengerjakan Perkalian Pecahan Dan Desimal Guru Ilmu Sosial
www.ilmusosial.id

Soal Matematika Kelas 5 Sd Erlangga
property-and-more.de

Bahan Ajar Matematika Kelas 5 Pecahan Pdf Free Download
docplayer.info

Kunci Jawaban Buku Senang Belajar Matematika Kelas 5 Halaman 26 27 28 29 30 32 33 Sanjayaops
www.sanjayaops.com

Soal Soal Pecahan Ppt Download
slideplayer.info

Kunci Jawaban Buku Tematik Senang Belajar Matematika Kelas 5 Kurikulum 2013 Ruang Edukasi
www.ruangedukasi.com

Pin Di Microsoft Windows
www.pinterest.com

Kak Tolong Dengan Pembagian Pecahan Brainly Co Id
brainly.co.id

Contoh Soal Pecahan Desimal Dan Jawabannya Kelas 5 Sd Kumpulan Soal Pelajaran 8
soalujian-78.blogspot.com

Soal Matematika Kelas 5 Sd Contoh Dan Jawabannya
quipper.co.id

Perkalian Pecahan Biasa Campuran Dan Desimal Berikut Contoh Soal
materibelajar.co.id

Pengurangan Pecahan Campuran Dan Biasa Beserta Contohnya
rumus.co.id

Doc Rpp Matematika Kelas V Smster 2 Fika Dewi Academia Edu
www.academia.edu

Soal Perkalian Kelas 3 Sd Beserta Jawabannya Terbaru 2020
materibelajar.co.id

Tematik Kelas 5 Soal Latihan Matematika Bab 1
rajinbelajar78.blogspot.com

Soal Matematika Kelas 5 Sd Bab 6 Pecahan Dan Kunci Jawaban Www Bimbelbrilian Com Pdf
id.scribd.com

Pembagian Pecahan Cara Aimyaya Cara Semua Cara
www.cara.aimyaya.com

Operasi Hitung Pecahan Campuran Kumpulan Rumus
rumusonline.com

Perkalian Pecahan Cara Aimyaya Cara Semua Cara
www.cara.aimyaya.com

Latihan Soal Pecahan Campuran Guru Ilmu Sosial
www.ilmusosial.id

Soal Matematika Kelas 5 Sd Bab 6 Pecahan Dan Kunci Jawaban Bimbel Brilian
bimbelbrilian.com

Soal Ulangan Harian Matematika Materi Pecahan Dan Bilangan Desimal Kelas 5 Diary Guru
www.diaryguru.com

Pembagian Pecahan Cara Aimyaya Cara Semua Cara
www.cara.aimyaya.com

Pengurangan Pecahan Biasa Dan Campuran Beserta Contoh Advernesia
www.advernesia.com

Latihan Soal Perkalian Dan Pembagian Pecahan Dan Kunci Jawaban Bimbel Brilian
bimbelbrilian.com

Jawabanya Kak Tolong Mau Dikumpulkan Besok Please Jawab Saya Butuh Jawaban Brainly Co Id
brainly.co.id

Materi Operasi Hitung Pecahan Dan Soal Latihan Matematika Kelas 5 Kurikulum 2013 Admin Sekolah
www.adminsekolah.com

Rangkuman Dan Soal Operasi Hitung Pecahan Materi Belajar Dari Rumah Tvri Kelas 4 6 Sd Semua Halaman Bobo
bobo.grid.id

Buku Ringkasan Materi Matematika Sd Kelas 5 Shopee Indonesia
shopee.co.id

Matematika 5 Sd Perkalian Pecahan Desimal Angka Koma Dua Cara Beda Youtube
www.youtube.com

Cara Menghitung Pecahan Matematika Beserta Contoh Soal Dan Jawaban
www.pinterpandai.com

Operasi Hitung Pecahan Campuran Kumpulan Rumus
rumusonline.com

Cara Mengerjakan Pembagian Pecahan 3 Bilangan Guru Ilmu Sosial
www.ilmusosial.id

Soal Matematika Sd Kelas 6 Perkalian Dan Pembagian Pecahan Desimal Download Buku Gratis
areell89.blogspot.com

Pembelajaran Operasi Hitung Perkalian Pembagian Pecahan Di Sd
www.slideshare.net

Soal Matematika Kelas 5 K13 Bab Perkalian Dan Pembagian Pecahan Juragan Les
www.juraganles.com

Perkalian Pembagian Soal Cerita Pecahan Indikator 8 9
www.slideshare.net

Jf1rvgusyfxy0m

Pengurangan Pecahan Biasa Dan Campuran Beserta Contoh Advernesia
www.advernesia.com

Contoh Soal Pecahan Desimal Dan Jawabannya Kelas 5 Sd Kumpulan Soal Pelajaran 8
soalujian-78.blogspot.com

Latihan Soldar Perkalian Pecahan Desimal Kelas V Semester 1 Sang Pendidik
www.sangpendidik.com

Matematika 5 Sd Perkalian Pecahan Biasa Dengan Bilangan Asli Youtube
m.youtube.com

Operasi Hitung Pecahan Biasa Campuran Desimal Dan Persen Juragan Les
www.juraganles.com

Cara Kilat Operasi Hitung Pecahan Jumlah Kurang Kali Bagi Soal
hindayani.com

Contoh Soal Dan Pembahasan Tentang Perkalian Dan Pembagian Pecahan Sd Ajar Hitung
www.ajarhitung.com

Latihan Soal Perkalian Dan Pembagian Pecahan Dan Kunci Jawaban Pdf Menu Home Kelas About Us1 Kelas Sitemap2 Latihan Soal Perkalian Dan Pembagian Course Hero
www.coursehero.com

Rpp Matematika Kelas 5 Sd Semester 1 Kurikulum 2013 Revisi 2017 Dokumen Guru Edukasi 2 Pecahan Campuran
id.123dok.com

Soal Pecahan Pilihan Ganda Kls 5 Interactive Worksheet
www.liveworksheets.com

Materi Operasi Hitung Pecahan Dan Soal Latihan Matematika Kelas 5 Kurikulum 2013 Admin Sekolah
www.adminsekolah.com

Contoh Soal Pecahan Campuran Kelas 5 Soal Cerita Kumpulan Soal Pelajaran 8
soalujian-78.blogspot.com

Contoh Soal Matematika Kelas 4 Sd Semester 1 Dan 2 Beserta Jawaban
quipper.co.id

Perkalian Pecahan Cara Aimyaya Cara Semua Cara
www.cara.aimyaya.com

Cara Kilat Operasi Hitung Pecahan Jumlah Kurang Kali Bagi Soal
hindayani.com

Rangkuman Dan Soal Cara Mengubah Pecahan Ke Desimal Belajar Dari Rumah Sd Kelas 4 6 Semua Halaman Bobo
bobo.grid.id

Soal Dan Materi Perkalian Dan Pembagian Pecahan Kependidikan Com
kependidikan.com

Latihan Soal Perkalian Dan Pembagian Pecahan Dan Kunci Jawaban Pdf Menu Home Kelas About Us1 Kelas Sitemap2 Latihan Soal Perkalian Dan Pembagian Course Hero
www.coursehero.com

Cara Menghitung Pecahan Rangkuman Dan Soal Matematika Kelas 4 6 Belajar Dari Rumah Tvri 11 Mei 2020 Semua Halaman Bobo
bobo.grid.id

Soal Pembagian Pecahan Desimal Dari Yang Mudah Sampai Yang Sulit Juragan Les
www.juraganles.com

Https Encrypted Tbn0 Gstatic Com Images Q Tbn 3aand9gcsd8mczwv99unsk9niuyk9 6abnikb8 0ko5hnk6fjpuq S0ftv Usqp Cau
encrypted-tbn0.gstatic.com

Cara Kilat Operasi Hitung Pecahan Jumlah Kurang Kali Bagi Soal
hindayani.com

Cara Mudah Perkalian Pecahan Campuran Dengan Pecahan Campuran Kelas 5 Sd Mi Semester 1 Youtube
www.youtube.com

Perkalian Pembagian Soal Cerita Pecahan Indikator 8 9
www.slideshare.net

Perkalian Pecahan Biasa Dengan Pecahan Desimal Matematika Kelas V Sd K 13 Youtube
www.youtube.com

Rumus Perkalian Pecahan Biasa Dan Campuran Contoh Soal
rumusrumus.com

Contoh Soal Pecahan Campuran Perkalian Kumpulan Soal Pelajaran 8
soalujian-78.blogspot.com

Contoh Soal Pecahan Desimal Dan Jawabannya Kelas 5 Sd Kumpulan Soal Pelajaran 8
soalujian-78.blogspot.com

Gyefioblhd0f3m

Bahan Ajar Matematika Kelas 5 Pecahan Pdf Free Download
docplayer.info

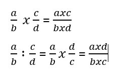
Perkalian Pecahan Pendidikan Matematika
yos3prens.wordpress.com

Soal Cerita Mengalikan Pecahan Film Video Khan Academy
id.khanacademy.org

Soal Perkalian Pecahan Kls 5 Interactive Worksheet
www.liveworksheets.com

Soal Matematika Perkalian Pecahan
belajarbarengsay.web.app

Tentukan Hasil Perkalian Pecahan Pecahan Berikut Dengan Cara Nya Brainly Co Id
brainly.co.id

Kunci Jawaban Buku Senang Belajar Matematika Kelas 5 Halaman 26 27 28 29 30 32 33 Sanjayaops
www.sanjayaops.com

Kunci Jawaban Matematika Kelas 5 Halaman 21 Perkalian Pecahan Campuran Dengan Pecahan Campuran Youtube
www.youtube.com

Cara Mengerjakan Soal Matematika Kelas 5 Guru Ilmu Sosial
www.ilmusosial.id

Pembagian Pecahan Biasa Dengan Desimal Osnipa
www.osnipa.com

Matematika Kurikulum 2013 Kelas 5 Pages 1 50 Flip Pdf Download Fliphtml5
fliphtml5.com

Soal Penilaian Tengah Semester 1 Matematika Kelas 5 K 13 Sekolahdasar Net
www.sekolahdasar.net

Perkalian Pecahan Pendidikan Matematika
yos3prens.wordpress.com

Materi Operasi Hitung Pecahan Dan Soal Latihan Matematika Kelas 5 Kurikulum 2013 Admin Sekolah
www.adminsekolah.com

Mengoperasikan Bentuk Pecahan Desimal Dan Persen Ppt Download
slideplayer.info

Cara Kilat Operasi Hitung Pecahan Jumlah Kurang Kali Bagi Soal
hindayani.com

Cara Mudah Perkalian Pecahan Desimal Contoh Soal Dan Pembahasan Juragan Les
www.juraganles.com

Perkalian Pecahan Ficha Interactiva
es.liveworksheets.com

Pin Di Soal2 Sd
www.pinterest.com

close