Kunci Jawaban Update

41n 14n Adalah Kelipatan 27


Pdf Xi Isbn 978 602 427 114 5 Jilid Lengkap 978 602 427 116 9 Jilid 2 Grasella Seventry Academia Edu
www.academia.edu

Contoh Soal Dan Jawaban Induksi Matematika Pdf
contohsoal.netlify.app

Prove That 41 N 14 N Is A Multiple Of 27 Math Principle Of Mathematical Induction 1115521 Meritnation Com
www.meritnation.com

Induksi Matematika No 5 Matematikasma Belajardirumah Samasaya Youtube
www.youtube.com

Contoh Soal Induksi Matematika Habis Dibagi 2 Kumpulan Soal Pelajaran 5
soalujian-75.blogspot.com

Bab I Induksi Matematik Induksi Matematik Merupakan Salah
studylibid.com

Nilai 10 log 30 jika dinyatakan dalam a dan b adalahayo di jawab mutlak 2 x tambah 1 per 2 sama dengan 1 per 4 himpunan penyelesaian nya adalah ubah bilangan desimal ke bilangan cacah 66 tuliskan nilai dari 2x1 lt83 x tolong penyelesaiannya ya perintah nya tulis suku.

41n 14n adalah kelipatan 27. Kelipatan 7 dapat diperoleh dengan menambahkan 7. Adalah benar hipotesis induksi catatlah bahwa bilangan ganjil positif ke n adalah 2n 1. Kelipatan 4 4 8 1216 2024 2832 3640 kelipatan 12 12 24 36 48 kelipatan persekutuan dari 4 dan 12 adalah 1224 36 jadi kpk dari 4 dan 12 adalah 12.

40 48 56 kelipatan persekutuannya adalah 8 16 24 32 kelipatan yang sama dari 4 dan 8 nilai yang terkecil adalah 8 sehingga kpknya adalah 8. Kelipatan 7 7 14 7 14 21 7 21 28 7 28 35 perhatikan kalender 2008 bulan januari. Posted in rumus matematika tagged 41n 14n adalah kelipatan 27 7n 2n habis dibagi 5 8n3 5n habis dibagi 3 a n b n habis dibagi ab buktikan n2n contoh soal induksi matematika brainly contoh soal induksi matematika notasi sigma contoh soal induksi matematika pertidaksamaan contoh soal ketidaksamaan induksi matematika diketahui sn.

Posted in rumus matematika tagged 41n 14n adalah kelipatan 27 7 n 2 n habis dibagi 5 8n3 5n habis dibagi 3 a n b n habis dibagi ab buktikan n 2 n contoh soal induksi matematika brainly contoh soal induksi matematika notasi sigma contoh soal induksi matematika pertidaksamaan contoh soal ketidaksamaan induksi matematika diketahui s n. 1 7 7 2. Tanggal untuk hari senin adalah 7 14 21 28.

Kita harus memperlihatkan bahwa pn 1 juga benar yaitu. Induksi matematika adalahsuatu kiat yang dikembangkan untuk memperlihatkan pernyataan. Contoh saran dalam makalah.

41n 14n adalah kelipatan 27. Diketahui 2 log 3 a dan 3 log 5. By fina dhea posted on 29122019.

50 000 00. Dapat juga dengan mengalikannya dengan bilangan asli. 41n 14n adalah kelipatan 27 12183172 tolong help meee mohon bantuannya.

41n 14n adalah kelipatan 27 n bilangan asli pembahasan. Soal matematika induksi kelas 12 sma lengkap beserta pembahasannya 2019 ini bakal kami bagikan untuk meningkatkan referensi semua pengajar dalam mengoleksi soal ulangan harianpenilaian harian terutama untuk jenjang smama kelas 12.

Kelas 11 Sma Matematika Siswa 2017 Jlk9ekm16545
idoc.pub

Kelas 11 Sma Matematika Siswa 2017 Pages 1 50 Text Version Anyflip
anyflip.com

Anjing
id.scribd.com

Anjing
id.scribd.com

Matematika Inovatif Konsep Daxi Ips Siswanto Dan Umi S Nbsp A Pengertian Dasar Statistika Coba Jawablah Soal Soal Statistika Dan Data 2 Apakah Mean Median Dan Modus Itu 3 Misalkan Diberikan
vdocuments.mx

Sd5mat Matematika5
www.slideshare.net

Soal Dan Pembahasan Induksi Matematika Pdf Guru Ilmu Sosial
www.ilmusosial.id

2

Http Sekolahathalia Sch Id Wp Content Uploads 2017 08 Kelas Xi Mat Bs Pdf

Prove That 41 N 14 N Is A Multiple Of 27 Math Principle Of Mathematical Induction 1115521 Meritnation Com
www.meritnation.com

Soal Dan Pembahasan Induksi Matematika Sumber Soal Buku Siswa Matematika Sma Kurikulum 2013 Defantri Com
www.defantri.com

25 Soal Dan Pembahasan Induksi Matematika Pendidikan Matematika Laman 5
yos3prens.wordpress.com

41n 14n Adalah Kelipatan 27 Rumusrumus Com
rumusrumus.com

Bab I Induksi Matematik Induksi Matematik Merupakan Salah
studylibid.com

Soal Project Euler Wikimedia Id Github Io
wikimedia-id.github.io

Contoh Soal Matematika Induksi Matematika
contohsoal.netlify.app

Http Sekolahathalia Sch Id Wp Content Uploads 2017 08 Kelas Xi Mat Bs Pdf

Induksi Matematika Archives Mathcyber1997
mathcyber1997.com

Soal Matematika Induksi Kelas 12 Lengkap Beserta Pembahasannya 2019 Kumpulan Soal Ujian
kumpulansoalunbk.blogspot.com

Http Sumberbelajar Seamolec Org Media Dokumen 59c0fbdb865eac2f69e3cd32 011b053ce843a0ba36bff318ea90e9fb Pdf

Ex 4 1 23 Prove 41n 14n Is A Multiple Of 27 Class 11
www.teachoo.com

Proof By Mathematical Induction That 41 N 14 N Is Divisible By 27 Youtube
www.youtube.com

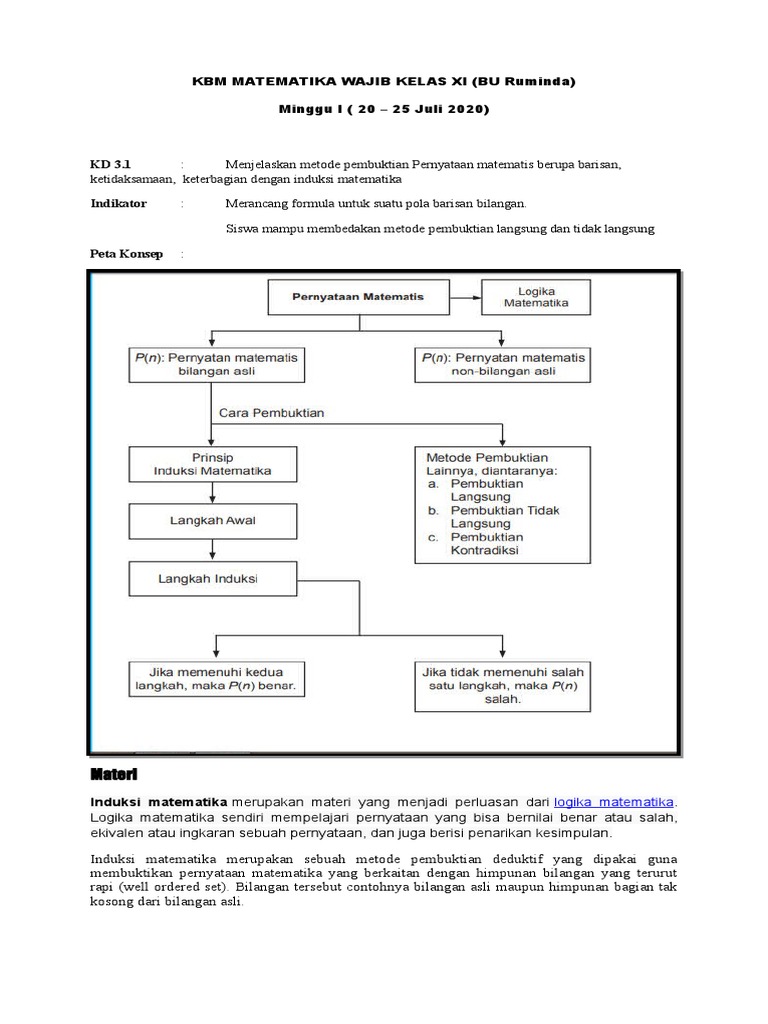
Gambar Peta Konsep Induksi Matematika Kelas 11
belajarbarengsay.web.app

Ex 4 1 23 Prove 41n 14n Is A Multiple Of 27 Class 11
www.teachoo.com

Induksi Matematikabuktikan Dengan Induksi Matematika Bahwa N N 1 Bernilai Benar Soal Di Pict Brainly Co Id
brainly.co.id

Https Pubhtml5 Com Zdbf Tsrj Basic

Https Www Idnfinancials Com Jp Fs3 Ou53s1bla3vrytdotef2vmt1mcsrv0lpvk1tq3ddyvdxzvv1meqrmedbddhvs1pfeflnpwpoz3llakjkc3r3nfvrruq

Kementerian Pendidikan Dan Kebudayaan 2 3 Menentukan Nilai Optimum Dengan Garis Selidik 8 3 Rumus Dasar Dan Sifat Dasar Integral Tak Tentu 304 3 1 Menjelaskan Metode Pdf Document
fdokumen.site

Kelas 11 Sma Matematika Siswa 2017 Pages 1 50 Text Version Anyflip
anyflip.com

Ex 4 1 23 Prove 41n 14n Is A Multiple Of 27 Class 11
www.teachoo.com

Soal Dan Pembahasan Induksi Matematika Sumber Soal Buku Siswa Matematika Sma Kurikulum 2013 Defantri Com
www.defantri.com

Filoso Bse Han Masalah Nyata Di Lingkungan Budayanya Aktivitas Peserta Didik Mengonstruksi Berbagai Pdf Document
vdokumen.com

Filoso Bse Han Masalah Nyata Di Lingkungan Budayanya Aktivitas Peserta Didik Mengonstruksi Berbagai Pdf Document
vdokumen.com

Kementerian Pendidikan Dan Kebudayaan 2 3 Menentukan Nilai Optimum Dengan Garis Selidik 8 3 Rumus Dasar Dan Sifat Dasar Integral Tak Tentu 304 3 1 Menjelaskan Metode Pdf Document
fdokumen.site

Contoh Soal Induksi Matematika Habis Dibagi 2 Kumpulan Soal Pelajaran 5
soalujian-75.blogspot.com

Contoh Soal Notasi Sigma Doc Bank Soal Un Sd Dan Pembahasannya
www.nobodyknows.website

Mtk Wajib Kls Xi Rev 2017 Buku Siswa
studylib.net

Sd5mat Matematika5
www.slideshare.net

Http Sumberbelajar Seamolec Org Media Dokumen 59c0fbdb865eac2f69e3cd32 011b053ce843a0ba36bff318ea90e9fb Pdf

Soal Dan Pembahasan Induksi Matematika Sumber Soal Buku Siswa Matematika Sma Kurikulum 2013 Defantri Com
www.defantri.com

Pt Madusari Murni Indah Tbk Pdf Download Gratis
docplayer.info

Http Anyflip Com Alams Tdge Basic

Contoh Soal Induksi Matematika Kelas 11 Pilihan Ganda Guru Ilmu Sosial
www.ilmusosial.id

Pdf Buku Siswa Kelas 11 Matematika Abdu Almuthalib Academia Edu
www.academia.edu

Contoh Soal Induksi Matematika Habis Dibagi 2 Kumpulan Soal Pelajaran 5
soalujian-75.blogspot.com

Proof By Mathematical Induction That 41 N 14 N Is Divisible By 27 Youtube
www.youtube.com

Https Www Idnfinancials Com Jp Fs3 Ou53s1bla3vrytdotef2vmt1mcsrv0lpvk1tq3ddyvdxzvv1meqrmedbddhvs1pfeflnpwpoz3llakjkc3r3nfvrruq

Http Rumahbelajar Id Media Dokumen 5cdd6510b646044330d686c8 Be8e933c1d5ee6234176b19f7309ff48 Pdf

Contoh Soal Notasi Sigma Doc Bank Soal Un Sd Dan Pembahasannya
www.nobodyknows.website

Contoh Soal Induksi Matematika Beserta Caranya
contohsoal.netlify.app

Gambar Peta Konsep Induksi Matematika Kelas 11
belajarbarengsay.web.app

Kelas Xi Tdy Docx
id.scribd.com

Induksi Matematika Kelipatan 27 Youtube
www.youtube.com

Https Nos Jkt 1 Neo Id Bse Perpustakaan 7 7191 F060 Pdf

Contoh Soal Notasi Sigma Doc Bank Soal Un Sd Dan Pembahasannya
www.nobodyknows.website

Soal Dan Pembahasan Induksi Matematika Pdf Guru Ilmu Sosial
www.ilmusosial.id

Soal Dan Pembahasan Induksi Matematika Pada Keterbagian Bilangan Mathcyber1997
mathcyber1997.com

Gunakan Induksi Matematika Untuk Membuktikan Formula Berikut 41n 14n Adalah Kelipatan 27 N Brainly Co Id
brainly.co.id

Gambar Peta Konsep Induksi Matematika Kelas 11
belajarbarengsay.web.app

Matematika Inovatif Konsep Daxi Ips Siswanto Dan Umi S Nbsp A Pengertian Dasar Statistika Coba Jawablah Soal Soal Statistika Dan Data 2 Apakah Mean Median Dan Modus Itu 3 Misalkan Diberikan
vdocuments.mx

Induksi Matematika Kelipatan 27 Youtube
www.youtube.com

Kelas 11 Sma Matematika Siswa 2017 Jlk9ekm16545
idoc.pub

25 Soal Dan Pembahasan Induksi Matematika Pendidikan Matematika Laman 5
yos3prens.wordpress.com

2

Anjing
id.scribd.com

Anjing
id.scribd.com

Kelas 11 Sma Matematika Siswa 2017 Jlk9ekm16545
idoc.pub

Soal Project Euler Wikimedia Id Github Io
wikimedia-id.github.io

Contoh Soal Induksi Matematika Habis Dibagi 2 Kumpulan Soal Pelajaran 5
soalujian-75.blogspot.com

Https Nos Jkt 1 Neo Id Bse Perpustakaan 7 7191 F060 Pdf

Contoh Soal Induksi Matematika Kelas 11 Pilihan Ganda Guru Ilmu Sosial
www.ilmusosial.id

Pdf Buku Siswa Kelas 11 Matematika Abdu Almuthalib Academia Edu
www.academia.edu

Gunakan Induksi Matematika Untuk Membuktikan Formula Berikut 41n 14n Adalah Kelipatan 27 N Brainly Co Id
brainly.co.id

41n 14n Adalah Kelipatan 27 Brainly Co Id
brainly.co.id

Contoh Soal Induksi Matematika Kelas 11 Pilihan Ganda Guru Ilmu Sosial
www.ilmusosial.id

Bantuin Dong Mau Di Kumpulkan Nih Kasih Caranya Ya Brainly Co Id
brainly.co.id

2

Http Sekolahathalia Sch Id Wp Content Uploads 2017 08 Kelas Xi Mat Bs Pdf

Pt Madusari Murni Indah Tbk Pdf Download Gratis
docplayer.info

Ex 4 1 23 Prove 41n 14n Is A Multiple Of 27 Class 11
www.teachoo.com

Http Rumahbelajar Id Media Dokumen 5cdd6510b646044330d686c8 Be8e933c1d5ee6234176b19f7309ff48 Pdf

Latihan Soal Sumatif Sma Docx
id.scribd.com

Http Sekolahathalia Sch Id Wp Content Uploads 2017 08 Kelas Xi Mat Bs Pdf

41n 14n Adalah Kelipatan 27 N Bilangan Asli Pliss Bantu Fast Brainly Co Id
brainly.co.id

Soal Dan Pembahasan Induksi Matematika Pada Keterbagian Bilangan Mathcyber1997
mathcyber1997.com

Filoso Bse Han Masalah Nyata Di Lingkungan Budayanya Aktivitas Peserta Didik Mengonstruksi Berbagai Pdf Document
vdokumen.com

Kementerian Pendidikan Dan Kebudayaan Matematika Dalam Memecahkan Masalah Menjadi Fokus Utama Dari Pdf Document
fdokumen.site

Kelas 11 Sma Matematika Siswa 2017 Pages 1 50 Text Version Anyflip
anyflip.com

Filoso Buku Kurikulum 2013 Edisi Revisi 2018 Filoso Pendidikan Dalam Pengembangan Kurikulum 2013 Pdf Document
fdokumen.com

Contoh Soal Notasi Sigma Dan Induksi Matematika Kelas 11 Kumpulan Soal Pelajaran 7
soalujian-77.blogspot.com

Induksi Matematika Archives Mathcyber1997
mathcyber1997.com

Contoh Soal Induksi Matematika Kelas 11 Pilihan Ganda Guru Ilmu Sosial
www.ilmusosial.id

Contoh Soal Induksi Matematika Kelas 11 Pilihan Ganda Guru Ilmu Sosial
www.ilmusosial.id

Induksi Matematika Makalah Prinsip Dan Contoh Soal
rumusrumus.com

close